CAS NO: 40623-75-4
Acrylic Acid-2-Acrylamido-2-Methylpropane Sulfonic Acid Copolymer
CAS: 40623-75-4
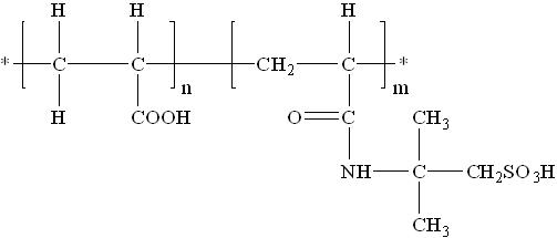
結構式:
一、産品性能
AA/AMPS爲丙烯酸與2-丙烯酰胺-2-甲基丙磺酸(AMPS)共聚而成。由於(yú)分子結構中含有阻垢分散性能的羧酸基和強極性的磺酸基,能提高鈣容忍度,對水中的磷硫酸鈣、碳酸鈣、鋅垢等有顯著的阻垢作用,並(bìng)且分散性能優良。
二、技術指标
|
項 目 |
指 标 |
|
|
外 觀 |
無色至淡黃色粘稠液體 |
|
|
固體含量,% ≥ |
30.0 |
40.0 |
|
遊離單體(以AA計),% ≤ |
0.5 |
0.8 |
|
pH值(1%水溶液) |
≤2.5 |
3.5~4.5 |
|
密度(20℃),g/cm3 ≥ |
1.05 |
1.15 |
|
極限黏數(30℃),dl/g |
0.055~0.100 |
-- |
注:30%規格産品參照标準HG/T3642-2016。
三、應用範圍與使用方法
本産品AA/AMPS主要用作敞開式工業循環冷卻水系統、油田污水回注系統、冶金系統循環水處理的阻垢分散,鋼鐵廠淋洗的冷卻水防止Fe2O3粘泥沉積。
本品可與有機膦酸鹽、鋅鹽複合使用,特别适合高pH(7.0~9.5)、高堿度、高硬度的水質,是實現高濃縮倍數運行的最理想的阻垢分散劑之一。AA/AMPS塑料桶包裝,每桶25Kg、200Kg、250 Kg,也可根據用戶要求確定。AA/AMPS避光保存,防止暴曬,貯存期爲十二個月。
五、安全防護
AA/AMPS爲酸性,應避免與皮膚、眼睛等接觸,接觸後應用大量清水沖洗(至少15分鍾)。
錄入時間:2018/3/6 12:27:42 點(diǎn)擊(jī)次數:20231
地址:山東(dōng)省棗莊市市中區(qū)中泰工業園
銷(xiāo)售:0632-3461066 / 13606321973
採(cǎi)購(gòu):0632-3461906
傳(chuán)真:0632-3461077
EMAIL:xintaiwater@163.com
版權所有 @山東(dōng)鑫泰水處(chù)理技術股份有限公司
違法和不良信息舉報(bào)電(diàn)話:(0632)3461055 舉報(bào)郵箱:xintaiwater@163.com